認知障害患者の数は年々増加し、毎年の新規症例は約1千万件に達し、特に65歳以上の人はより一般的です。研究によると、日常的に摂取する3種類の飲料が脳の健康に悪影響を及ぼしており、これらの糖分を含む飲料を避けることが重要です。中医師は健康に有益な自然な茶飲料を自分で作ることを推奨しています。
ソーダ、ジュース、乳飲料が認知症リスクを高めることが明らかに
ドイツのある研究では、日常的に摂取される3種類の糖分を含む飲料と認知症リスクとの関連を見つけました。特に、乳製品中の遊離糖の摂取は認知症のリスクを39%も高めます。
遊離糖とは、製造業者、料理人、または消費者が食品や飲料に添加する単糖類(グルコース、フルクトースなど)や二糖類(砂糖や甘しょ糖など)、およびハチミツ、シロップ、果汁、濃縮果汁に天然に含まれる糖のことを指します。
様々なソースからの糖の摂取が認知症リスクに与える影響を研究するために、研究チームは英国の生物銀行研究に参加した18万6622人の被験者の食事アンケートデータを分析しました。アンケートには206種類の食品と32種類の飲料の摂取量が含まれており、平均的な追跡期間は10.6年でした。
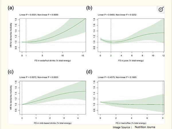
研究の結果、食品中の遊離糖と内因性糖は認知症リスクと明確な関連がありますが、固形食品中の遊離糖と認知症リスクとの関係は明確ではありませんでした。また、飲料のサブタイプを評価した結果、炭酸飲料、フルーツジュース、乳製品中の遊離糖は認知症リスクと明確に正の相関があり、茶やコーヒー中の遊離糖はほとんど認知症リスクは増加しませんでした。

さらに、果汁中の遊離糖も認知症リスクと正の相関が見られますが、その程度は小さいです。論文には、週に果汁を1回未満飲む被験者と比較して、週に少なくとも3回果汁を飲む人のアルツハイマー病のリスクが低いという別の研究の結果も述べられています。
研究者は、遊離糖を含む飲食において、炭酸飲料、果汁飲料、乳製品の3つのカテゴリーが認知障害リスクと最も関連があることを強調しています。結果は、遊離糖と認知症リスクとの関連は、遊離糖の出どころによって異なることを示しています。この研究結果は、今年9月に『栄養ジャーナル』に発表されました。
世界保健機関は、遊離糖の摂取量を1日の総エネルギー摂取量の10%未満に制限することを推奨しています。さらに5%未満におさえ、1日あたり約25g(約スプーン6杯)の摂取が健康に有益とされています。英国国民保健サービスは、成人の1日の遊離糖摂取量は30g以下に制限することを推奨しています。
多くの証拠が、糖を含む清涼飲料水が体重増加や2型糖尿病のリスク増加と関連していることを示しています。また、糖尿病は認知症と密接に関連しています。
日本国内科医院の院長である国近啓三先生は、自身の病院のウェブサイトで、糖尿病による高血糖状態が持続すると、動脈硬化が引き起こされ、脳の血管がより詰まりやすくなると述べています。脳の血流が阻害されると、神経細胞に十分な血液が供給されず、脳の神経細胞の機能が損なわれ、結果として認知障害が引き起こされます。
さらに、一部の研究では、糖は炎症を引き起こし、炎症が神経変性疾患に関与していると考えられています。例えば、脳の神経細胞の炎症はアルツハイマー病の主要な原因とされており、アルツハイマー病は最も一般的な認知障害の1つです。

栄養士がおすすめする自家製の7種の無糖飲料
自身の健康のため、砂糖の摂取を意識して減らす人が増えています。水やコーヒー以外にも、台湾の栄養士シュエ・シャオジンさんはSNSで自宅で簡単に作れるいくつかの無糖飲料を共有しました。これらの飲料は、糖分を摂取する習慣を少しずつ変えるのに役立ち、糖を含む清涼飲料水の健康問題を心配する必要もありません。
1. 青草茶:青草茶は甘く、肝臓をきれいにする効果があります。一般的な材料にはミント、仙草(バーブ)、香附子(ハマスゲ)などがあります。抗酸化活性は、大根やブロッコリーなどの一般的な野菜よりもはるかに高いです。
2. カモミールティー:リラックスやストレス解消に効果があり、睡眠の質を向上させます。
3. ラベンダーティー:うつ病を改善し、疲労度を低下させます。

4. レモングラスティー:神経伝達物質「GABA」の生成を促進し、不安を軽減し、感情を安定させ、リラックスして眠りにつくのを助けます。
5. 抹茶、緑茶:カテキンが豊富で、強力な抗酸化作用があり、血糖値、血中脂肪、コレステロールを下げるだけでなく、ダイエットやシェイプアップにも役立ち、心血管疾患やがんの予防にも効果的です。
6. 果実酢:食後の脂っこさを取り除き、消化を助けます。市販の果実酢飲料には糖分が多く添加されているものが多いので、選ぶ際には注意が必要です。炭酸水を加えることで、飲み物のような感覚になります。
7. プーアル茶:テアニン、カテキン、テアフラビンなどの抗酸化物質を含み、活性酸素や酸化ストレスに対抗します。
ご利用上の不明点は ヘルプセンター にお問い合わせください。